切换至 "中华医学电子期刊资源库"

中华肺部疾病杂志(电子版) ›› 2026, Vol. 19 ›› Issue (01) : 28 -35. doi: 10.3877/cma.j.issn.1674-6902.2026.01.005

论著

TFF家族通过ECM受体互作通路驱动肺腺癌进展:多组学预后模型与杯状细胞机制研究
代静1, 袁婷1, 张硕辛2, 毛杨3, 范会业3,()   
  1. 1400037 重庆,陆军(第三)军医大学第二附属医院心内科
    2400037 重庆,陆军(第三)军医大学第二附属医院呼吸内科
    3400037 重庆,陆军(第三)军医大学第二附属医院临床医学研究中心
  • 收稿日期:2025-08-20 出版日期:2026-02-25
  • 通信作者: 范会业
  • 基金资助:
    国家自然科学基金面上项目(82270821)

TFF drives lung adenocarcinoma progression via the ECM receptor interaction pathway: A multi-omics prognostic model and goblet cell mechanism analysis

Jing Dai1, Ting Yuan1, Shuoxin Zhang2, Yang Mao3, Huiye Fan3,()   

  1. 1Department of Cardiology, Second Affiliated Hospital, Army Medical University, Chongqing 400037, China
    2Department of respiratory, Second Affiliated Hospital, Army Medical University, Chongqing 400037, China
    3Clinical Medical Research Center, Second Affiliated Hospital, Army Medical University, Chongqing 400037, China
  • Received:2025-08-20 Published:2026-02-25
  • Corresponding author: Huiye Fan
引用本文:

代静, 袁婷, 张硕辛, 毛杨, 范会业. TFF家族通过ECM受体互作通路驱动肺腺癌进展:多组学预后模型与杯状细胞机制研究[J/OL]. 中华肺部疾病杂志(电子版), 2026, 19(01): 28-35.

Jing Dai, Ting Yuan, Shuoxin Zhang, Yang Mao, Huiye Fan. TFF drives lung adenocarcinoma progression via the ECM receptor interaction pathway: A multi-omics prognostic model and goblet cell mechanism analysis[J/OL]. Chinese Journal of Lung Diseases(Electronic Edition), 2026, 19(01): 28-35.

目的

构建基于多组学特征的预后风险模型,系统解析杯状细胞相关黏附分子(cup-related adhesion molecule)在肺腺癌中的预后意义,为精准诊疗提供生物标志物参考。

方法

通过整合TCGA-LUAD(n=598)、GTEx正常肺组织(n=110)及3个GEO(gene expression omnibus,基因表达综合数据库)队列(n=189)进行差异表达分析,采用LASSO-Cox回归构建预后模型,并通过NCI-H1975细胞系的实时定量聚合酶链式反应(quantitative polymerase chain reaction, RT-qPCR)、蛋白质印迹法(western blot, WB)实验验证靶基因表达。

结果

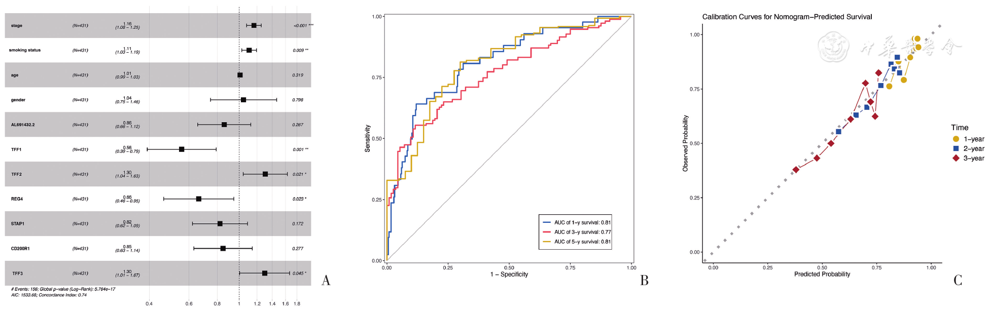
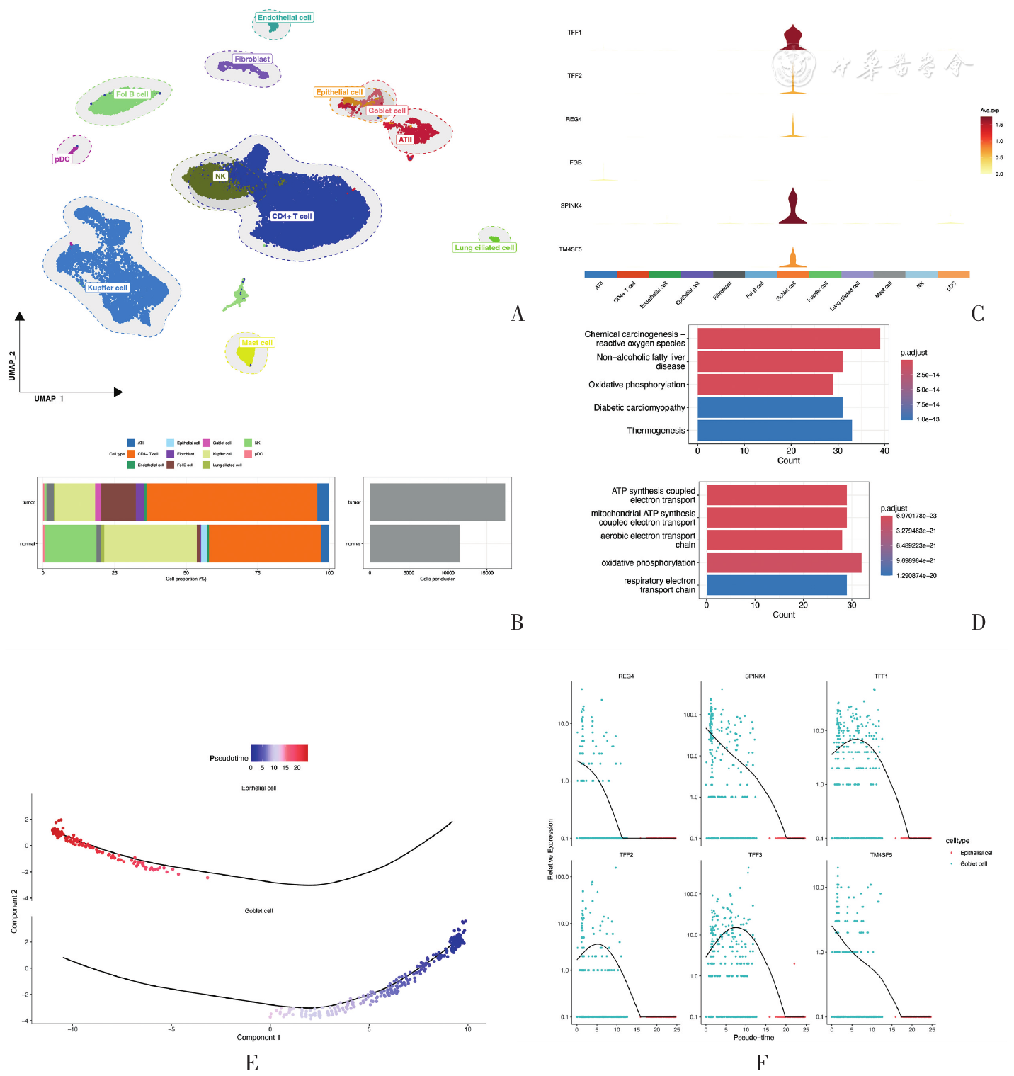
LUAD样本中共筛选出1583个差异表达基因(|log2FC|>1, FDR<0.05),包括883个上调基因和700个下调基因。GO/KEGG分析显示差异基因显著富集于细胞周期调控和细胞外基质(extracellular matrix, ECM)-受体相互作用通路。多因素Cox回归证实三叶因子1(trefoil factorl, TFF1)为独立预后因素(HR=1.22, 95%CI:0.082~0.109, P<0.001),其参与构建的5基因模型在测试集的C-index达0.71。单细胞转录组分析(n=17)显示,TFF家族基因在肿瘤微环境杯状细胞中特异性高表达(log2FC>2, P<0.001),与临床分期呈正相关(Spearman ρ=0.68,P=1.3×107)。RT-qPCR和WB实验结果表明,LUAD细胞系的5个细胞黏附关键生物标志物(TFF1、TFF2、TFF3、REG4和SPINK4)表达差异显著(P<0.05)。

结论

通过多组学数据分析构建的5基因预后模型(TFF1/2/3、REG4、SPINK4)在独立队列中验证有效(AUC=0.77),其中TFF1通过杯状细胞驱动肿瘤进展,为肺腺癌的液体活检和靶向治疗提供了新型组合标志物。

Objective

To construct a prognostic risk model based on multi-omics features and systematically analyze the prognostic value of goblet cell-related adhesion molecules in lung adenocarcinoma (LUAD), providing biomarker references for precision diagnosis and treatment.

Methods

This study integrated TCGA-LUAD (n=598), GTEx normal lung tissue (n=110), and three GEO cohorts (GSE31210, etc., n=189) for differential expression analysis. A prognostic model was constructed using LASSO-Cox regression, and the expression of target genes was validated through real-time quantitative polymerase chain reaction (RT-qPCR) and Western blot (WB) experiments in the NCI-H1975 cell line.

Results

1 583 differentially expressed genes (|log2FC|>1, FDR<0.05) were identified in LUAD samples, including 883 upregulated and 700 downregulated genes. GO/KEGG analysis revealed that these genes were significantly enriched in cell cycle regulation (GO: 0045786, P=1.4e-07) and the extracellular matrix-receptor(ECM) interaction pathway (hsa 04512, P=1.8e-09). Additionally, multivariate Cox regression confirmed TFF1 as an independent prognostic factor (HR=1.22, 95%CI: 0.082~0.109, P<0.001). The 5-gene model constructed with TFF1 achieved a C-index of 0.71 in the test set. Single-cell transcriptome analysis (n=17) showed that TFF family genes were specifically highly expressed in goblet cells within the tumor microenvironment (log2FC>2, P<0.001) and positively correlated with clinical stage (Spearman ρ=0.68, P=1.3×107). RT-qPCR and WB experiments demonstrated significant differences in the expression of five key adhesion biomarkers (TFF1, TFF2, TFF3, REG4, and SPINK4) in LUAD cell lines (P<0.05).

Conclusion

The 5-gene prognostic model (TFF1/2/3, REG4, SPINK4) constructed through multi-omics data analysis was validated in an independent cohort (AUC=0.77). TFF1 drives tumor progression via goblet cells, offering a novel combination biomarker for liquid biopsy and targeted therapy in LUAD.

表1 LUAD转录组数据来源
表2 目的基因的引物名称、序列
图1 肺腺癌中差异表达显著的基因。图A为来自TCGA-LUAD、GSE115002和GSE116859数据集的差异基因表达;图B为核心基因的拓扑结构图;图C为核心基因的差异表达火山图;图D为DEGs的GO分析。BP为生物过程;CC为细胞组成;MF为分子功能;图E为DEGs的KEGG分析
图2 生存模型的构建和分析。图A为OS的LASSO-Cox回归模型;图B为OS的LASSO回归模型的调整参数;图C为根据OS的风险因子图示;图D为高风险和低风险亚组之间OS患者的Kaplan-Meier曲线;图E为PFS的LASSO-Cox回归模型;图F为PFS的LASSO回归模型的调整参数;图G为根据PFS的风险因子图示;图H为高风险和低风险亚组之间PFS患者的Kaplan-Meier曲线
表3 LASSO回归模型中的5基因预后特征参数
图3 随机森林图的构建。图A为风险森林图;图B为模型的1年、3年和5年的ROC曲线;图C为基于模型预测和观察到的1年、3年和5年存活率之间的校准曲线
图4 LUAD的单细胞转录组特征及杯状细胞动态演化。图A为单细胞转录组分群;图B为不同分组每细胞比例;图C为核心基因在每细胞上的表达;图D为杯状细胞拟时间轨迹构建;图E为基因表达动态;图F为核心基因表达水平沿分化轨迹显著上升
图5 关键生物标志物的表达的验证。图A为在NCI-H1975细胞系中验证关键生物标志物的表达;图B为通过Western blotting检测NCI-H1975细胞系和对应的正常细胞系中5个关键生物标志物蛋白的表达水平(*P<0.05,**P<0.01,***P<0.001)
1
Siegel R, Miller K, Fuchs HE, et al. Cancer statistics, 2021[J].CA Cancer J Clin, 2021, 71(1): 7-33.
2
高嘉营,金发光. 肺癌自身抗体在肺癌诊断中的研究进展[JO/L]. 中华肺部疾病杂志(电子版), 2023, 16(5): 739-741.
3
重庆肺癌精准治疗协作组(CPLOG), 重庆市医药生物技术协会肿瘤罕见病疑难病专委会,重庆市医学会肿瘤学分会化疗学组. 非小细胞肺癌三代表皮生长因子受体酪氨酸激酶抑制剂耐药后诊疗策略专家共识(2025版)[JO/L]. 中华肺部疾病杂志(电子版), 2025, 18(6): 847-859.
4
Travis WD, Brambilla E, Burke AP, et al. Introduction to the 2015 World Health Organization classification of tumors of the lung, pleura, Thymus, and heart[J]. J Thorac Oncol, 2015, 10(9): 1240-1242.
5
Chen PY, Quan Z, Song XY, et al. MDFI is a novel biomarker for poor prognosis in LUAD[J]. Front Oncol, 2022, 12: 1005962.
6
Singh SS, Dahal A, Shrestha L, et al. Genotype driven therapy for non-small cell lung cancer: Resistance, pan inhibitors and immunotherapy[J]. Curr Med Chem, 2020, 27(32): 5274-5316.
7
Cascone T, Fradette J, Pradhan M, et al. Tumor immunology and immunotherapy of non-small-cell lung cancer[J]. Cold Spring Harb Perspect Med, 2022, 12(5): a037895.
8
万思远,林志星,廖薇薇,等. 抗IL-13单抗抑制上呼吸道杯状细胞增生缓解急性声门下喉炎的疗效及分子机制研究[J]. 国际检验医学杂志2025, 46(2): 168-174.
9
樊蕊蕊,高杰. 原发性直肠杯状细胞腺癌的临床病理研究[J]. 诊断病理学杂志2024, 31(10): 976-979, 988.
10
Gustafsson JK, Johansson MEV. The role of goblet cells and mucus in intestinal homeostasis[J]. Nat Rev Gastroenterol Hepatol, 2022, 19(12): 785-803.
11
Dimmler A, Geddert H, Faller G. EGFR, KRAS, BRAF-mutations and microsatellite instability are absent in goblet cell carcinoids of the appendix[J]. Pathol Res Pract, 2014, 210(5): 274-278.
12
Alam J, de PaivaCS, Pflugfelder SC. Immune-Goblet cell interaction in the conjunctiva[J]. Ocul Surf, 2020, 18(2): 326-334.
13
Cui Y, Fang W, Li C, et al. Development and validation of a novel signature to predict overall survival in "Driver Gene-negative" Lung Adenocarcinoma (LUAD): Results of a multicenter study[J]. Clin Cancer Res, 2019, 25(5): 1546-1556.
14
Serafini A, Tan L, Horswell S, et al. Mycobacterium tuberculosis requires glyoxylate shunt and reverse methylcitrate cycle for lactate and pyruvate metabolism[J]. Mol Microbiol, 2019, 112(4): 1284-1307.
15
Zhou L, Wang H, Fang Z, et al. The microRNA-381(miR-381)/Spindlin1(SPIN1) axis contributes to cell proliferation and invasion of colorectal cancer cells by regulating the Wnt/β-catenin pathway[J]. Bioengineered, 2021, 12(2): 12036-12048.
16
Kosriwong K, Menheniott TR, Giraud AS, et al. Trefoil factors: tumor progression markers and mitogens via EGFR/MAPK activation in cholangiocarcinoma[J]. World J Gastroenterol, 2011, 17(12): 1631-1641.
17
Romano E, Vllahu M, Bizzarro V, et al. TFF1 promotes EMT-like changes through an auto-induction mechanism[J]. Int J Mol Sci, 2018, 19(7): 2018.
18
Buijs JT, van BeijnumR, Anijs RJS, et al. The association of tumor-expressed REG4, SPINK4 and alpha-1 antitrypsin with cancer-associated thrombosis in colorectal cancer[J]. J Thromb Thrombolysis, 2024, 57(3): 370-380.
19
Fournier AK, Campbell LE, Castagnino P, et al. Rac-dependent cyclin D1 gene expression regulated by cadherin- and integrin-mediated adhesion[J]. J Cell Sci, 2008, 121(Pt 2): 226-233.
20
De FeliceB, Damiano S, Montanino C, et al. Effect of beta- and alpha-glucans on immune modulating factors expression in enterocyte-like Caco-2 and goblet-like LS 174T cells[J]. Int J Biol Macromol, 2020153: 600-607.
21
Lu Y, Huang Y, Li J, et al. Eosinophil extracellular traps drive asthma progression through neuro-immune signals[J]. Nat Cell Biol, 2021, 23(10): 1060-1072.
22
Su H, Zhao Y. Eupatilin alleviates inflammation and epithelial-to-mesenchymal transition in chronic rhinosinusitis with nasal polyps by upregulating TFF1 and inhibiting the Wnt/β-catenin signaling pathway[J]. Histol Histopathol, 2024, 39(3): 357-365.
23
Zhao S, Ma Y, Huang X. Trefoil factor 1 elevates the malignant phenotype of mucinous ovarian cancer cell through Wnt/β-catenin signaling[J]. Int J Clin Exp Pathol, 2015, 8(9): 10412-10419.
24
Chen TJ, Tian YF, Chou CL, et al. High SPINK4 expression predicts poor outcomes among rectal cancer patients receiving CCRT[J]. Curr Oncol, 2021, 28(4): 2373-2384.
25
Wang Y, Han J, Yang G, et al. Therapeutic potential of the secreted Kazal-type serine protease inhibitor SPINK4 in colitis[J]. Nat Commun, 2024, 15(1): 5874.
26
Hasebe K, Yamazaki K, Yamaguchi J, et al. Trefoil factor 1 inhibits the development of esophageal adenocarcinoma from Barrett′s epithelium[J]. Lab Invest, 2022, 102(8): 885-895.
27
Chen TJ, Tian YF, Chou CL, et al. High SPINK4 expression predicts poor outcomes among rectal cancer patients receiving CCRT[J]. Curr Oncol, 2021, 28(4): 2373-2384.
28
Blanchard C, Durual S, Estienne M, et al. IL-4 and IL-13 up-regulate intestinal trefoil factor expression: requirement for STAT6 and de novo protein synthesis[J]. J Immunol, 2004, 172(6): 3775-3783.
29
Hahn C, Teufel M, Herz U, et al. Inhibition of the IL-4/IL-13 receptor system prevents allergic sensitization without affecting established allergy in a mouse model for allergic asthma[J]. J Allergy Clin Immunol, 2003, 111(6): 1361-1369.
30
Graziani F, Pinton P, Olleik H, et al. Deoxynivalenol inhibits the expression of trefoil factors (TFF) by intestinal human and porcine goblet cells[J]. Arch Toxicol, 2019, 93(4): 1039-1049.
31
Pothuraju R, Rachagani S, Krishn SR, et al. Molecular implications of MUC5AC-CD44 axis in colorectal cancer progression and chemoresistance[J]. Mol Cancer, 2020, 19(1): 37.
32
Manne A, Kasi A, Esnakula AK, et al. Predictive value of MUC5AC signature in pancreatic ductal adenocarcinoma: A hypothesis based on preclinical evidence[J]. Int J Mol Sci, 2023, 24(9): 8087.
33
Fan J, Chen B, Wu H, et al. Comprehensive multi-omics analysis identifies chromatin regulator-related signatures and TFF1 as a therapeutic target in lung adenocarcinoma through a 429-combination machine learning approach[J]. Front Immunol, 2024, 15: 1481753.
[1] 李晓颜, 邢爱花, 董瑞生, 王瑞玲, 贾子江, 郑丽琴. 血管细胞黏附分子-1、肝素结合蛋白蛋白及调节性T细胞水平检测对支气管哮喘并发肺部感染患者的预测意义[J/OL]. 中华肺部疾病杂志(电子版), 2025, 18(06): 911-916.
[2] 曾慧, 刘朝朝, 牛雷, 邓雅洁, 徐礼霞, 沙莎. 早期肺腺癌血清外泌体miRNA特征谱及诊断标志物筛选研究[J/OL]. 中华肺部疾病杂志(电子版), 2025, 18(06): 891-896.
[3] 唐林娟, 王槿樾, 王欣, 黄娜, 杨凯. 嘌呤生物合成关键酶PAICS在肺腺癌中的表达及功能研究[J/OL]. 中华肺部疾病杂志(电子版), 2025, 18(06): 942-948.
[4] 李艳鸿, 张海颖, 邓丽娜, 张雯文, 贺梦颖, 郭旭萌, 佘静亚. 血清tRF-Lys-CTT表达水平预测肺腺癌患者术后复发的临床意义[J/OL]. 中华肺部疾病杂志(电子版), 2025, 18(06): 936-941.
[5] 张青, 吴灵芝, 冯契靓, 陈荣荣, 秦二云, 张诚实, 赵云峰, 雷撼, 刘明. 黄芪多糖调控CEACAM7通过EMT通路抑制肺癌A549细胞恶性生物学行为的机制研究[J/OL]. 中华肺部疾病杂志(电子版), 2025, 18(04): 552-557.
[6] 李爱科, 李富博, 赵继伟, 张立广, 董怡, 梁宗英, 于晓磊, 杜新生. 血清黑素瘤抗原A3 水平与肺腺癌预后的关系分析[J/OL]. 中华肺部疾病杂志(电子版), 2025, 18(02): 236-240.
[7] 夏祯祎, 刘懿, 丁俞成, 袁宏霞, 李晓燕, 陈田. circUBAP2L 通过hsa-let-7c/GAD1 轴调控肺腺癌1-甲基组氨酸和二甲基甘氨酸的机制分析[J/OL]. 中华肺部疾病杂志(电子版), 2025, 18(02): 273-278.
[8] 应允丽, 赵凤德, 韩明锋, 李明, 申辉. 肺腺癌患者衰弱状态与预后关系分析[J/OL]. 中华肺部疾病杂志(电子版), 2025, 18(01): 131-134.
[9] 严专, 高素敏, 赵红梅, 顾立志, 常青. 血清sTREM-1、VCAM-1 水平对重症肺炎并发呼吸衰竭患者预后的分析[J/OL]. 中华肺部疾病杂志(电子版), 2025, 18(01): 98-103.
[10] 汪艳, 孙美玲, 闵凌峰. 基于TCGA 数据库肺腺癌铁死亡相关基因CA9 的鉴定[J/OL]. 中华肺部疾病杂志(电子版), 2024, 17(06): 888-894.
[11] 方兴保, 庞国莲, 李月宏, 蔡艳. 基于多组学分析MCAM在肝癌中表达及其与生存预后和免疫细胞浸润的关系[J/OL]. 中华肝脏外科手术学电子杂志, 2025, 14(05): 716-724.
[12] 赵鸿鹰, 江荣科, 王宇, 朱梅, 李艳芳. CEACAM19调控PI3K/AKT信号通路对胃癌发病及预后判断的研究[J/OL]. 中华消化病与影像杂志(电子版), 2025, 15(01): 16-22.
[13] 续文栋, 郑锴, 张鹏, 张华阳, 李润泽, 常东旭. 单免疫治疗晚期肺腺癌多发脑转移患者1例[J/OL]. 中华胸部外科电子杂志, 2026, 13(01): 83-87.
[14] 马钰杰, 游雨禾, 朴哲, 薛洪省, 曹文军, 王珍, 赵志龙. 人工智能在肺结节预测模型中应用的研究现状[J/OL]. 中华胸部外科电子杂志, 2025, 12(01): 39-48.
[15] 崔世军, 黄志宁, 王高祥, 吴明胜, 孙效辉, 徐美清, 解明然. 不同手术方式对≤2 cm外周型肺腺癌患者肺部术后慢性咳嗽对比分析[J/OL]. 中华胸部外科电子杂志, 2025, 12(01): 24-32.
阅读次数
全文


摘要


AI


AI小编
你好!我是《中华医学电子期刊资源库》AI小编,有什么可以帮您的吗?